ECM19-10E - FM15% Électro-aimants

Electro-aimant de manoeuvre simple

Accueil  |  Electro-aimants, Ventouses, Freins  |  Électro-aimants  |   
ECM19-10E - FM15%

Electro-aimant de manoeuvre simple

ECM19-10E - FM15% : de conception cylindrique usinée, cet électro-aimant de manoeuvre simple robuste se loge et se fixe très facilement dans des encombrements réduits. La fonction poussante ou tirante est assurée par des appareils différents. En position verticale, tenir compte du poids du noyau.
Électro-aimants
Plan dimensionnel
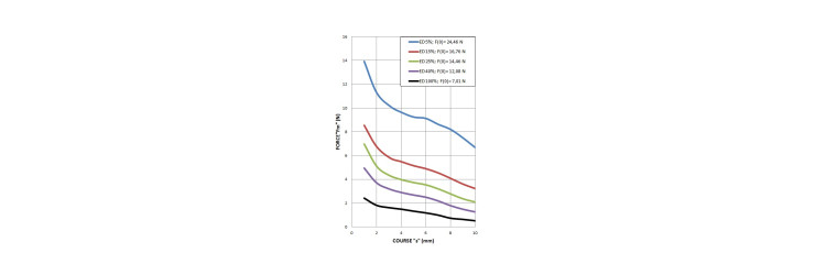
Courbe Forces-courses
Gamme de produit
Electro-aimant de manoeuvre simple
Longueur du corps
49,5
Longueur du corps
49,5 mm
Masse du noyau
20
Masse du noyau
20 g
Masse total
80
Masse total
80 g
Gamme de produit
Electro-aimant de manoeuvre simple
Fonction
Poussante
Force ressort en début de course
0,1
Force ressort en début de course
0,1 N
Force ressort en fin de course
0,18
Force ressort en fin de course
0,18 N
Diamètre
19
Diamètre
19 mm
Options
Autres tensions et facteurs de marche sur demande
Course
10
Course
10 mm
Force en début de course
3,2
Force en début de course
3,2 N
Force en fin de course
16,7 N
Force en fin de course
16,7
Ressort de rappel interne
sur demande
Durée d'attraction
37
Durée d'attraction
37 ms
Durée de rappel
38
Durée de rappel
38 ms
Facteur de marche
15
Facteur de marche
15 %
Durée du cycle pour le calcul
2
Durée du cycle pour le calcul
2 min
Puissance
45
Puissance
45 W
Raccordement
fils libres
Classe d'isolation
B
Tension standard
24
Tension standard
24 V
Protection IP
IP30