ECM19-10T - DC15% Solenoids

Solenoid for simple operation

Accueil  |  Solenoids,Holding Magnets, Brakes  |  Solenoids  |   
ECM19-10T - DC15%

Solenoid for simple operation

ECM19-10T - DC15% : with its machined cylindrical design, this robust single-action electromagnet can be easily installed and secured in confined spaces. The push or pull function is provided by different devices. In the vertical position, take into account the weight of the core.
Solenoids
Grayed out functions require you to be logged in to your account
login to my account
 Dimensional plan
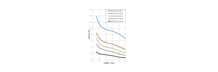
Forces-strokes curve
Product range
Solenoid for simple operation
Body length
49,5
Body length
49,5 mm
Coil weight
20
Coil weight
20 g
Total weight
80
Total weight
80 g
Product range
Solenoid for simple operation
Function
Pulling
Spring force at the beginning of the stroke
0,1 N
Spring force at the beginning of the stroke
0,1
Spring force at the end of the stroke
0,18
Spring force at the end of the stroke
0,18 N
Diameter
19
Diameter
19 mm
Options
Other voltages and duty factors on request.
Stroke
10
Stroke
10 mm
Force at beginning of stroke
3,2
Force at beginning of stroke
3,2 N
Force at end of stroke
16,7
Force at end of stroke
16,7 N
Internal return spring
yes
Duration of attraction
37
Duration of attraction
37 ms
Recoil time
38
Recoil time
38 ms
Duty cycle
15
Duty cycle
15 %
Duration of the cycle for the calculation
2
Duration of the cycle for the calculation
2 min
Power
45
Power
45 W
Connection
Free wires
Insulation class
B
Standard voltages
24
Standard voltages
24 V
IP protection
IP30